Бестселлеры O’Reilly - Фейерштейн С., Прибыл Б. - Oracle PL/SQL. Для профессионалов (6-е изд.) [2015, PDF, RUS]

Страницы:  1

Ответить
 

^(V)^


Oracle PL/SQL. Для профессионалов (6-е изд.)
Год издания: 2015
Автор: Фейерштейн С., Прибыл Б.
Переводчик: Матвеев Е.
Жанр или тематика: Программирование
Издательство: Питер
ISBN: 978-5-496-01152-5, 978-1-4493-2445-2
Серия: Бестселлеры O’Reilly
Язык: Русский
Формат: PDF
Качество: Издательский макет или текст (eBook)
Интерактивное оглавление: Да
Количество страниц: 1024
Описание: Данная книга является подробнейшим руководством по языку PL/SQL, представляющему собой процедурное языковое расширение для SQL. В ней детально рассмотрены основы PL/SQL, структура программы, основные принципы работы с программными данными, а также методика применения операторов и инструкций для доступа к реляционным базам данных. Большое внимание уделяется вопросам безопасности, влиянию объектных технологий на PL/SQL и интеграции PL/SQL с XML и Java. За последние 18 лет, в течение которых переиздается эта книга, она стала незаменимым руководством по PL/SQL для сотен тысяч программистов, как начинающих, так и профессионалов. Шестое издание книги полностью обновлено под версию Oracle12c.

Примеры страниц

Краткое оглавление

Часть I. Программирование на PL/SQL
Глава 1. Введение в PL/SQL....................................................................................... 36
Глава 2. Написание и запуск кода PL/SQL.................................................................. 50
Глава 3. Основы языка............................................................................................... 75
Часть II. Структура программы PL/SQL
Глава 4. Условные команды и переходы..................................................................... 98
Глава 5. Циклы........................................................................................................ 114
Глава 6. Обработка исключений............................................................................... 132
Часть III. Работа с данными в PL/SQL
Глава 7. Работа с данными в программах................................................................. 166
Глава 8. Строки........................................................................................................ 186
Глава 9. Числа......................................................................................................... 218
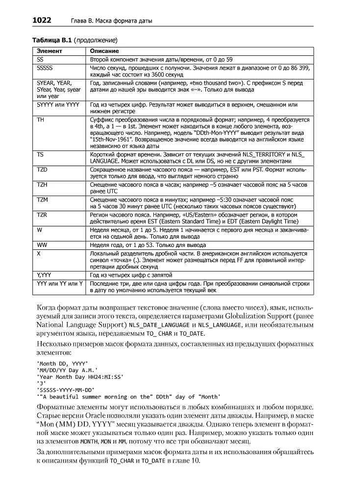
Глава 10. Дата и время............................................................................................ 246
Глава 11. Записи...................................................................................................... 281
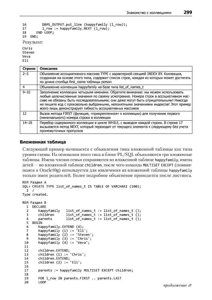
Глава 12. Коллекции................................................................................................ 295
Глава 13. Другие типы данных................................................................................. 353
Часть IV. SQL и PL/SQL
Глава 14. DML и управление транзакциями.............................................................. 386
Глава 15. Выборка данных....................................................................................... 404
Глава 16. Динамический SQL и динамический PL/SQL.............................................. 444
Часть V. Создание приложений PL/SQL
Глава 17. Процедуры, функции и параметры........................................................... 486
Глава 18. Пакеты..................................................................................................... 531
Глава 19. Триггеры.................................................................................................. 559
Глава 20. Управление приложениями PL/SQL........................................................... 606
Глава 21. Оптимизация приложений PL/SQL............................................................ 664
Глава 22. Ввод/вывод в PL/SQL................................................................................ 742
Часть VI. Особые возможности PL/SQL
Глава 23. Безопасность и PL/SQL............................................................................. 778
Глава 24. Архитектура PL/SQL.................................................................................. 831
Глава 25. Глобализация и локализация в PL/SQL..................................................... 876
Глава 26. Объектно-ориентированные возможности PL/SQL..................................... 910
Глава 27. Вызов Java-программ из PL/SQL................................................................ 958
Глава 28. Внешние процедуры................................................................................. 987
Приложение А. Параметры функций и метасимволы регулярных выражений.......1012
Приложение Б. Числовые форматы.......................................................................1017
Приложение В. Маска формата даты.....................................................................1020
Download

Скачать .torrent файл

Сайт не распространяет и не хранит электронные версии произведений, а лишь предоставляет доступ к создаваемому пользователями каталогу ссылок на торрент-файлы, которые содержат только списки хеш-сумм

 
Loading...
Error